滚动导轨的计算
(1)滚动直线导轨的载荷计算
直线运动滚动导轨所受载荷,受很多因素的影响,如配置形式(水平、竖直或斜置等)、移动件的重心和受力点的位置.移动导轨牵引力的作用点、启动及停止时惯性力以及工作阻力作用等。
表9-5-59为各种条件下作用于导轨上载荷的计算。
有些机械工作过程中载荷是变化的,如工业机械手及机床,这时就要按平均(或当量)载荷Fm来进行直线运动滚动支承的计算。常见的4种变载荷下的平均载荷Fm计算公式见表9-5-60。
当支承同时承受垂直载荷Fv及水平载荷Fh 时,其计算载荷可取
Fc=Fv + Fh
当支承还承受转矩M时,计算载荷
Fc=Fv + Fh+Co*M/Mt
式中Fc——计算载荷;
Fv——垂直载荷向量;
Fh——水平载荷向量;
Co—额定静载荷;
M——转矩;
Mt —额定转矩.
表9-5-59
注:载荷变化时,当量载荷的计算原理与滚珠丝杠副相同;G为滑块座的重量。
| 序号 | 使用条件 | 每个滑块座的载荷值 | 说明 | ||||||||||||
|---|---|---|---|---|---|---|---|---|---|---|---|---|---|---|---|
| 1 |
|
![]() 式中 G--工作台质量 F--外加载荷 |
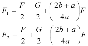
水平安装、卧式导轨,滑块座移动 工作台质量均匀分布,重心在中间,G为重量 外力F的作用点和工作台重心重合 匀速运动或静止 Fmax=F1=F2=F3=F4 |
||||||||||||
| 2 |
|
|
同上,但外力F的作用点偏离中心,不与重心重合 Fmax=Fimax |
||||||||||||
| 3 |
|
|
同上,但外力F的作用点在导轨之外 Fmax=Fimax |
||||||||||||
| 4 |
|
![]() l--外力F作用点与滚珠丝杠副(或其他驱动器)的距离 |
水平安装,卧式导轨,滑块座移动 外力F作用方向与配置滚珠丝杠副、液压缸或其他驱动器平行 匀速运动或静止时 Fmax=F1 |
||||||||||||
| 5 |
|
![]() 式中 v──加、减速度(m/s) t1──加、减速时间(s) g──重力加速度,g=9.8m/s² |
水平安装,卧式导轨,滑块座移动 承受惯性力,配置滚珠丝杠副、液压缸或其他驱动器驱动 Fmax=Fimax |
||||||||||||
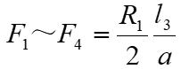
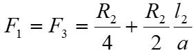
| 6 |
|
|
水平安装,卧式单轨,滑块座移动 匀速运动或静止时 Fmax=F1 |
||||||||||||
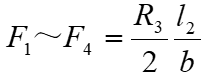
| 7 |
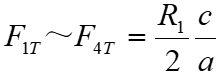
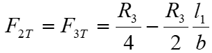
匀速行动时,行程长度:2c![]() ![]()
|
卧式导轨,导轨轴移动
|
|||||||||||||
| 8 |
|
||||||||||||||
|
承受垂直水平外力水平安装,滑块座移动。匀速移动时 | ||||||||||||||
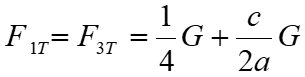
| 9 |
|
||||||||||||||
![]() ![]()
|
立式横向安装 滑块座移动 匀速移动或静止时 |
||||||||||||||
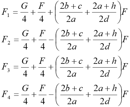
| 10 |
|
![]() l1、l2--载荷作用点与滚珠丝杠副或其他驱动器轴线的距离 |
垂直安装,立式导轨,滑块座移动 外力F作用方向与配置滚珠丝杠副、液压缸或其他驱动器平行 匀速运动或静止时 |
||||||||||||
| 11 |
|
|
垂直安装,立式导轨,滑块座移动 推力Fa作用方向与配置滚珠丝杠副、液压缸或其他驱动器驱动 匀速运动或静止时 |
||||||||||||
表9-5-60
| 载荷变化 | 计算载荷计算式 | 说明 | |
|---|---|---|---|
| 分段变化 |
|
|
Fc=Fm──平均载荷,N
Fn──对应行程Ln内的载荷(N) Ln──分段行程(mm) L──全行程∑Ln |
| 线性变化 |
|
|
式中 Fc=Fm Fmin──最小载荷 Fmax──最大载荷 |
| 全波正弦曲线变化 |
|
|
Fc=Fm |
| 半波正弦曲线变化 |
|
|
Fc=Fm |
| 同时承受垂向和水平载荷 |
|
Fv──垂直载荷向量 Fh──水平载荷向量 |
|
| 同时承受载荷和力矩 |
|
Fo──载荷 Co──额定静载荷 Mo──力矩 Mt──额定力矩相应MA、MB、MC |
|
(2)滚动导轨的寿命计算
滚动导轨的主要失效形式是滚动元件与滚道的疲劳点蚀与塑性变形,其相应的计算准则为寿命(或动载荷)计算和静载荷计算。滚动体循环装置的失效主要靠正确的制造、安装与使用维护来避免。
1)额定寿命计算 直线滚动导轨额定寿命的计算与滚动轴承基本相同。滚动体为球时

滚动体为滚子时

式中 L—额定寿命.指一组同样的直线运动滚动导轨,在相同条件下运行.其数量的 90%不发生疲劳时所能达到的总运行距 离,km;
C——基本额定动载荷,指垂直于运动方向且大小不变地作用于一组同样的直线运动滚动导轨上使额定寿命为L=50km (对球形滚动体)或L= 100km (对滚子形滚动体)时的载荷,kN或N•m;
P——当量动载荷,P=FC, kN或N • m;
fh—硬度系数,
由于产品技术要求规定.滚道硬度不得低于58HRC,故通常可取fh =1;
ft—温度系数, 査表 9-5-61;
fc——接触系数,查表 9-5-62;
fa一精度系数,查表 9-5-63;
fw——载荷系数, 査表 9-5-64.
2)寿命时间的计算 当行程长度一定,以h为单位的额定寿命为

式中 Lh——寿命时间,h;
L-- 额定寿命,km;
La--行程长度,m;
nz——每分钟往复次数。
表9-5-61 温度系数
| 工作温度/℃ | ft |
|---|---|
| ≤100 | 1 |
| >100~150 | 0.9 |
| >150~200 | 0.73 |
| >200~250 | 0.6 |
表9-5-62 接触系数
| 每根导轨上滑块数 | fc |
|---|---|
| 1 | 1 |
| 2 | 0.81 |
| 3 | 0.72 |
| 4 | 0.66 |
| 5 | 0.61 |
表9-5-63 精度系数
| 精度等级 | fa |
|---|---|
| 2 | 1 |
| 3 | 1 |
| 4 | 0.9 |
| 5 | 0.9 |
表9-5-64 载荷系数
| 工作条件 | fw |
|---|---|
| 无外部冲击或振动的低速运动的场合,速度小于15m/min | 1~1.5 |
| 无明显冲击或振动的中速运动场合,速度为15~60m/min | 1.5~2 |
| 有外部冲击或振动的高速运动场合,速度大于60m/min | 2~3.5 |
(3)滚动导轨静载能力计算

式中 Co——基本额定静载荷,kN,指直线运动滚动功能部件中承受最大接触应力的滚动体与滚道的塑性变形之和为滚动体直径1/10000时的载荷,Co见各导轨副的尺寸参数表,
Po——滚动功能部件在垂直于运动方向所受的最大静载荷,kN;
So ——静载荷安全系数,考虑启动与停止时惯性力对Po的影响,其值见表9-5-65。
(4)滚动导轨的摩擦力计算
摩擦阻力受结构形式、润滑剂的黏度、载荷及运动速度的影响而略有变化,预紧后,摩擦力增大,摩擦力Fμ可按下式计算
Fμ=μF+f
式中 μ——滚动摩擦因数,μ = 0.003~0.005;
F——法向载荷,N;
f—密封件阻力,N,毎个滑块座按f=5N 取值.
当所受载荷F小于基本额定静载荷Co的10% 时,由于载荷过小,滚珠间相互摩擦的阻力和润滑脂 的阻力占有较大比例。
这时摩擦力并不随法向载荷的降低而成正比地下降,实际摩擦力将大于按上式计算的结果。如果仍用该式计算,则可认为在低速时摩擦因数将增大。
实验表明,μ= 0.003~0.005;仅适用于载荷比 F/Co >0.1,当 F/Co =0.05 时,μ=0.01;当F/Co<0.05时,μ值将急剧增大。












