滚柱交叉导轨副
如图9-5-18所示,滚柱交叉导轨副由一对导轨、滚子保持架、圆柱滚子等组成。
一对导轨之间是截面为正方形的空腔,在空腔里装滚柱,前后相邻的滚柱轴线交叉90°,使导轨无论哪一方向受力,都有相应的滚柱支承。
为避免端面摩擦,取滚柱的长度比直径小0.15~0. 25mm。各个滚柱由保持架隔开。

这种导轨的特点是刚度和承载能力都比滚珠导轨大、精度高、动作灵敏,结构比较紧凑,但这种导轨由于滚柱是交叉排列的,在一条导轨面上实际参加工作的滚柱只有一半。 滚柱不循环运动,行程长度受限制。这种导轨适用于行程短、载荷大的机床等。
载荷及滚子数计算
1)导轨长度及滚子数量 交叉导轨的长度参数见图9-5-19,导轨长度不小于行程的1.5倍,即L>=1.5l。保持架的长度不大于导轨长度与行程长度一半之差,即K<=L-l/2。


N——滚子数量(整数);
a——保持架端距(见表9-5-86);
f——滚子间距(见表9-5-86)。
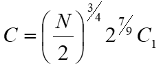
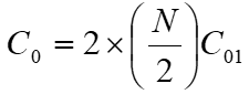
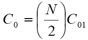
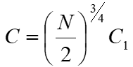
载荷计算(见表9-5-84)。
表9-5-84
注:C ──额定动载荷(N);
C0 ──额定静载荷(N);
C1 ──每个滚子的额定动载荷(N);
C01──每个滚子的额定静载荷(N);
N ──滚子数;
N/2──滚子数(忽略小数)。
| 载荷方向 |
|
|
|---|---|---|
| 额定动载荷 C |
|
|
| 额定静载荷 C0 |
|
|
尺寸系列
表9-5-85 导轨副基本尺寸
注:本表的单位是mm。
|
|||||||||||
| 规格 | 尺寸 | ||||||||||
|---|---|---|---|---|---|---|---|---|---|---|---|
| A | H | W | M | D | h | G | F | T | 单根导轨最大长度L | ||
| GZV1 | 8.5 | 4 | 3.8 | M2 | — | — | 1.8 | 10 | 2 | 80 | |
| GZV2 | 12 | 6 | 5.5 | M3 | — | — | 2.5 | 15 | 2 | 180 | |
| GZV3 | 18 | 8 | 8.4 | M4 | 6 | 3.1 | 3.5 | 25 | 2 | 300 | |
| GZV4 | 22 | 11 | 10 | M5 | 7.5 | 4.1 | 4.5 | 40 | 3 | 500 | |
| GZV6 | 31 | 15 | 14.2 | M6 | 9.5 | 5.2 | 6 | 50 | 4 | 500 | |
| GZV9 | 44 | 22 | 20.2 | M8 | 10.5 | 6.2 | 9 | 50 | 4 | 800 | |
| GZV12 | 58 | 28 | 27 | M10 | 13.5 | 8.2 | 12 | 100 | 5 | 1000 | |
| GZV15 | 71 | 36 | 33 | M12 | 16.5 | 10.2 | 14 | 100 | 6 | 1000 | |
表9-5-86 保持架基本尺寸
注:C1 ──每个滚子的额定动载荷(kN);
C01──每个滚子的额定静载荷(kN)。
|
||||||
| 规格 | DW /mm | a /mm | f /mm | B /mm | C1 /kN | C01 /kN |
|---|---|---|---|---|---|---|
| GZV1 | 1.5 | 1.5 | 2.5 | 3.8 | 0.107 | 0.118 |
| GZV2 | 2 | 2 | 4 | 5.6 | 0.263 | 0.274 |
| GZV3 | 3 | 2.5 | 5 | 7.6 | 0.545 | 0.597 |
| GZV4 | 4 | 5 | 7 | 10 | 1.05 | 1.16 |
| GZV6 | 6 | 6 | 9 | 14 | 2.06 | 2.41 |
| GZV9 | 9 | 9.5 | 14 | 21 | 5.904 | 6.74 |
| GZV12 | 12 | 10 | 20 | 25 | 12.15 | 13.77 |
| GZV15 | 15 | 14 | 22 | 34 | 19.62 | 22.32 |
精度
滚柱交叉导轨副精度等级分为4级:2、3、4、5。2级最高,其精度项目及其数值见表9-5-87。
表9-5-87
|
|||||||||
| 项目 | 长度/mm | 精度等级 | |||||||
|---|---|---|---|---|---|---|---|---|---|
| 2 | 3 | 4 | 5 | ||||||
| 公差/μm | |||||||||
| 导轨V型面对A、B面的平行度 |
≤200 >200 >200~400 >400~600 >600~800 >800~1000 |
2 | 4 | 6 | 10 | ||||
| 4 | 6 | 8 | 12 | ||||||
| 5 | 8 | 12 | 14 | ||||||
| 6 | 9 | 13 | 16 | ||||||
| 7 | 10 | 15 | 17 | ||||||
| 高度尺寸E的极限偏差 | ±10 | ±10 | ±15 | ±20 | |||||
| 同组导轨副高度尺寸E的一致性 | 10 | 10 | 15 | 20 | |||||
安装与使用
1)配对安装面精度 滚柱交叉导轨副的配对安装面的结构如图9-5-20所示。
2) 预载方法 如图9-5-21,预加载荷通常用螺钉来调整,该螺钉尺寸规格与导轨的安装螺钉相同,螺钉中心为导轨高度的一半。 预加载荷的数值根据机床与设备的不同而不同。 过预载将减少导轨副的寿命并损坏滚道,且在使用过程中,圆柱滚子很容易歪斜,产生自锁现象。因此,通席推荐无预载或较小的预载,如果精度和刚度要求高,则建议使用如图9-5-29 (c)所示的装配平板或者如图9-5-29 (b)所示的楔形加以预紧。
4) 滚柱交叉导轨副的运行速度不能超过30m/min。
5) 润滑 当滚柱交叉导轨副的运行速度为高速时(v>=15m/min),推荐使用L-AN32润滑油,40℃运动黏度28.8~35.2mm