本页导航
广告链接
内啮合变位(标准)齿轮
直齿轮固定弦齿厚
| 请输入已知参数值: | m= α= x= |
| 计算说明: | sc=m(π/2-2xtanα)cos²α |
| 计算结果: | sc= |
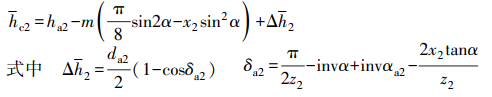
直齿轮固定弦齿高
| 请输入已知参数值: |
m=
z2=
da2=
α= ha2= x2= αa2= |
| 计算说明: |
|
| 计算结果: | hc2= |
斜齿轮固定弦齿厚
| 请输入已知参数值: | mn= αn= xn= |
| 计算说明: | scn=mn(π/2-2xntanαn)cos²αn |
| 计算结果: | scn= |
斜齿轮固定弦齿高
| 请输入已知参数值: |
mn=
zv2=
da2=
αt= ha2= xn2= αat2= αn= |
| 计算说明: |
|
| 计算结果: | hcn2= |