本页导航
广告链接
内啮合变位(标准)齿轮
直齿轮分度圆弦齿厚
| 请输入已知参数值: | m= z= x= |
| 计算说明: | s=mzsin(π/2z-2xtanα/z) |
| 计算结果: | s= |
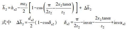
直齿轮分度圆弦齿高
| 请输入已知参数值: |
m=
z2=
da2= α= ha2= x2= δa2= |
| 计算说明: |
|
| 计算结果: | h2= |
斜齿轮分度圆弦齿厚
| 请输入已知参数值: | mn= zv= xn= |
| 计算说明: | sn=zvmnsin(π/2zv-2xntanαn/zv) |
| 计算结果: | sn= |
斜齿轮分度圆弦齿高
| 请输入已知参数值: |
mn=
zv2=
da2= αt= ha2= xn2= αat2= |
| 计算说明: |
|
| 计算结果: | hn2= |